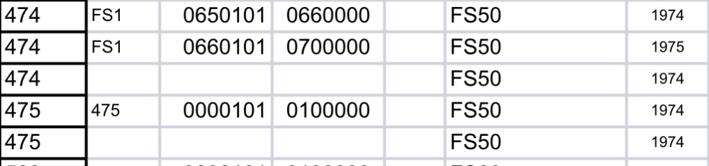
frame code 475 fs 50
-
opnieuweenfs1
- 100km gereden

- Berichten: 232
- Lid geworden op: 19 mei 2018, 17:00
frame code 475 fs 50
kan iemand mij meer vertellen over de modelcode 475? in de framenummerlijst kom ik hem wel tegen, maar daar staat alleen de code OV bij. wat houdt dat in?
-
jack1234
- Aan het inrijden

- Berichten: 31
- Lid geworden op: 04 jul 2019, 10:11
Re: frame code 475 fs 50
Ik denk Overige, Maar ja geen idee wat ze daar mee bedoelen 
- marco
- Sheriff of the Posbank

- Berichten: 23469
- Lid geworden op: 25 feb 2007, 16:56
- Locatie: in the-middle-of-nowhere-noord-holland : Edam
- marco
- Sheriff of the Posbank

- Berichten: 23469
- Lid geworden op: 25 feb 2007, 16:56
- Locatie: in the-middle-of-nowhere-noord-holland : Edam
-
opnieuweenfs1
- 100km gereden

- Berichten: 232
- Lid geworden op: 19 mei 2018, 17:00
Re: frame code 475 fs 50
ja dat heb ik gezien, maar voor welk land is deze gemaakt?

